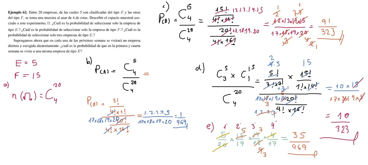
Probabilidad
Publicado por renzo (20 de diciembre del 2025, a las 08:05)

Comentarios:
zixtofalcon
24 de diciembre del 2025, a las 00:38

zixtofalcon
24 de diciembre del 2025, a las 01:01

AVISO IMPORTANTE !!!
Publicado por renzo (20 de diciembre del 2025, a las 08:05)

24 de diciembre del 2025, a las 00:38

24 de diciembre del 2025, a las 01:01
